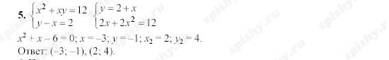
Иксы в уравнении (х) можно найти через дискриминант (х1 , х2) а как найти у ( игреки) ?
Вот для данной системы уравнения, как тут нашлись игреки (у) ?
Приложения:

Ответы
Ответ дал:
0
Просто надо подставить значения х в функцию y(x) , например у=х-3 , х=1 тогда
у(1)=1-3=-2
Вас заинтересует
2 года назад
2 года назад
8 лет назад
10 лет назад