• Предмет: Математика
  • Автор: devyatovevgeni
  • Вопрос задан 10 лет назад

Помогите. желательно расписать решение

Приложения:

Ответы

Ответ дал: irinan2014
0
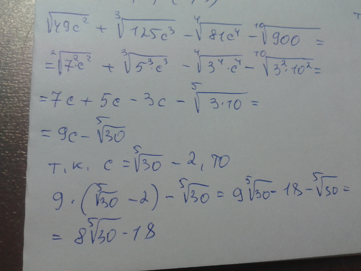
Решение смотри во вложении.
Приложения:
Вас заинтересует