• Предмет: Алгебра
  • Автор: Zheka54511
  • Вопрос задан 10 лет назад

Помогите пожалуйста)

Приложения:

Ответы

Ответ дал: miki68
0
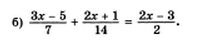
2*(3х-5)+2х+1=7*(2х-3)
6х-10+2х+1=14х-21
6х+2х-14х=10-1-21
-6х=-12
х=2
Ответ дал: Zheka54511
0
Спасибо=)
Вас заинтересует