• Предмет: Математика
  • Автор: влад32
  • Вопрос задан 11 лет назад

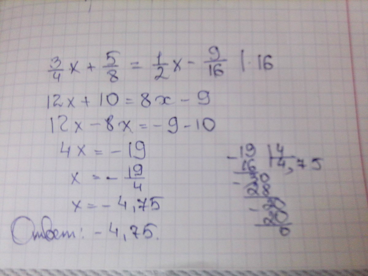
не могу решить 3/4х+5/8=1/2х-9/16 предворительно освободившись от дробей

Ответы

Ответ дал: Januar
0

Решение смотри во вложение.

Есть вопросы, в личку:)

Приложения:
Вас заинтересует