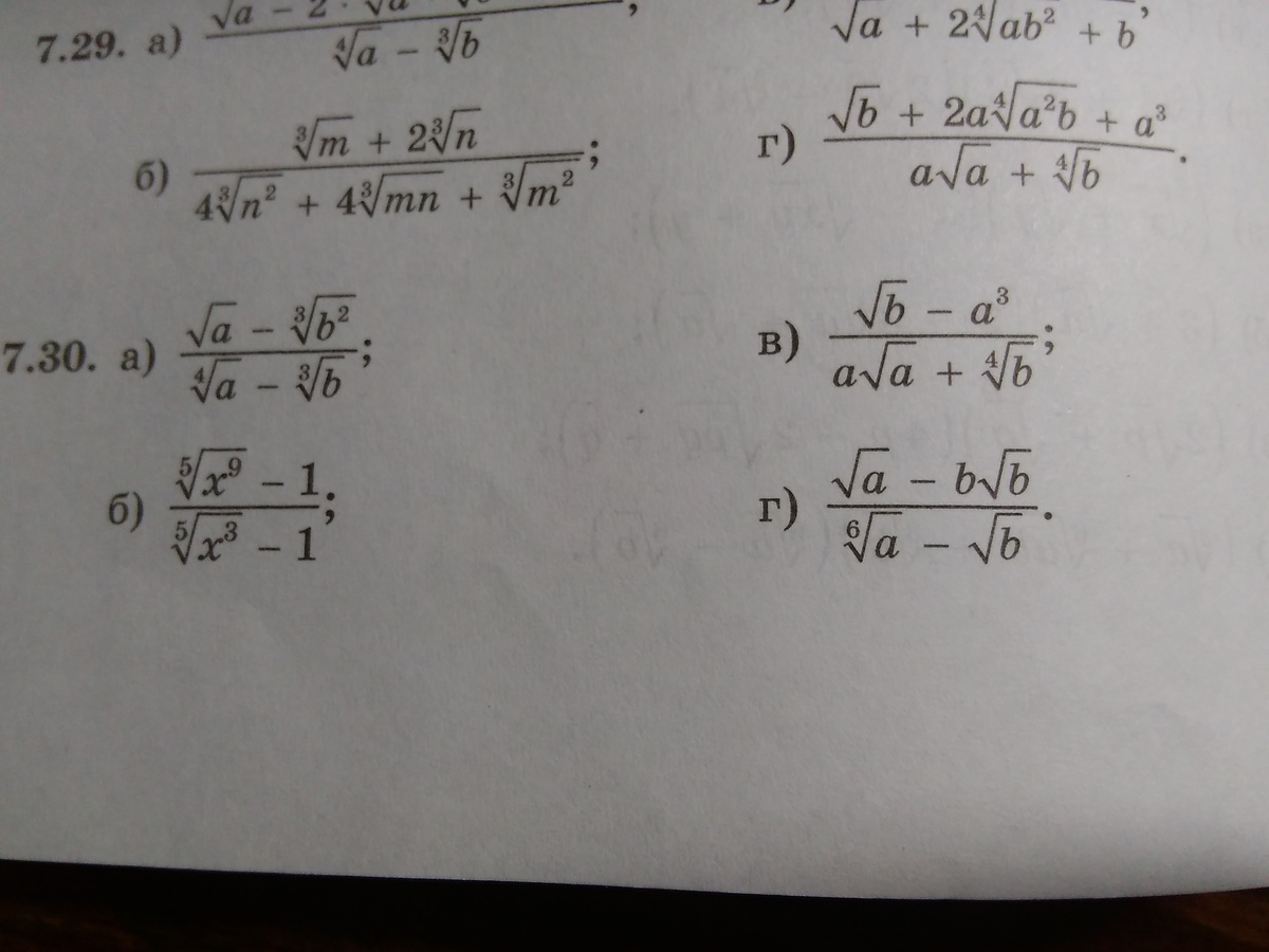
Помогите пожалуйста решить, как можно подробней номер 7.30 под а и в.
Сократите дроби, считая, что переменные принимают неотрицательные значения.
Приложения:

Ответы
Ответ дал:
0
решение во вложении----------------------------------
Приложения:
Вас заинтересует
2 года назад
2 года назад
7 лет назад
7 лет назад
10 лет назад
10 лет назад
10 лет назад