• Предмет: Математика
  • Автор: айназ56
  • Вопрос задан 10 лет назад

решите пожалуйста помогите

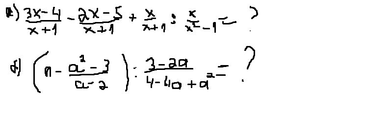
Приложения:

Ответы

Ответ дал: Sab1na
0
а) 3х-4/х+1 - 2х-5/х+1 +х/х+1:х/х^2-1=3х-4-2х+5/х+1 + х (х+1)(х+1)/х (х+1) = 3х-4-2х+5+х^2-1/х+1 = х^2+х/х+1 = х (х+1)/х+1 = х
Ответ дал: айназ56
0
а б
Вас заинтересует