Хотя бы что то помогите, всё решал, выходит не точно как то
во 2ом под (б) перед переносом +19*(умножить на)(-3)^-3
Приложения:
Ответы
Ответ дал:
0
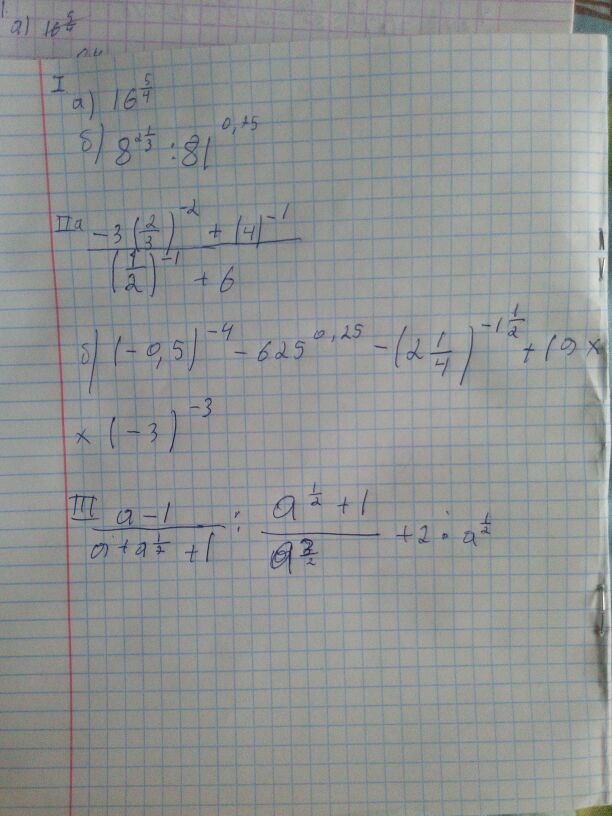
Например, во втором под б):
первое слагаемое (-0,5)^(-4) = 16, второе слагаемое 625^0,25 = 5, третье слагаемое 2 1/4^(-1 1/2) = 8/27, четвертое слагаемое 19*(-3)^-3 = 19/27.
Выполним действия:
16 - 5 - 8/27 - 19/27 = 16 - 5 - 1 = 11 - 1 = 10.
Ответ: 10.
Или, например, в первом под а):
16^(5/4) = (2^4)^(5^4) = 2^5 = 32.
Ответ: 32.
первое слагаемое (-0,5)^(-4) = 16, второе слагаемое 625^0,25 = 5, третье слагаемое 2 1/4^(-1 1/2) = 8/27, четвертое слагаемое 19*(-3)^-3 = 19/27.
Выполним действия:
16 - 5 - 8/27 - 19/27 = 16 - 5 - 1 = 11 - 1 = 10.
Ответ: 10.
Или, например, в первом под а):
16^(5/4) = (2^4)^(5^4) = 2^5 = 32.
Ответ: 32.
Вас заинтересует
2 года назад
2 года назад
8 лет назад