• Предмет: Алгебра
  • Автор: slavadd
  • Вопрос задан 10 лет назад

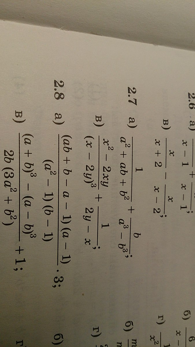
Помогите! не могу понять на что нужно домножать! 2.7 в

Приложения:

Ответы

Ответ дал: Pollykek
0
вынеси минус из знаменателя второй дроби. эт получится 1дробь -1 деленое на x-2y
Ответ дал: slavadd
0
Я делал так, но общий знаменатель
Ответ дал: slavadd
0
Я не могу подобрать
Ответ дал: slavadd
0
Если только друг на друга?
Ответ дал: Pollykek
0
первую дробь на 1, вторую на (x-2y)всё во второй
Ответ дал: slavadd
0
видимо я не правильно перемножил, попробую еще. спасибо
Вас заинтересует