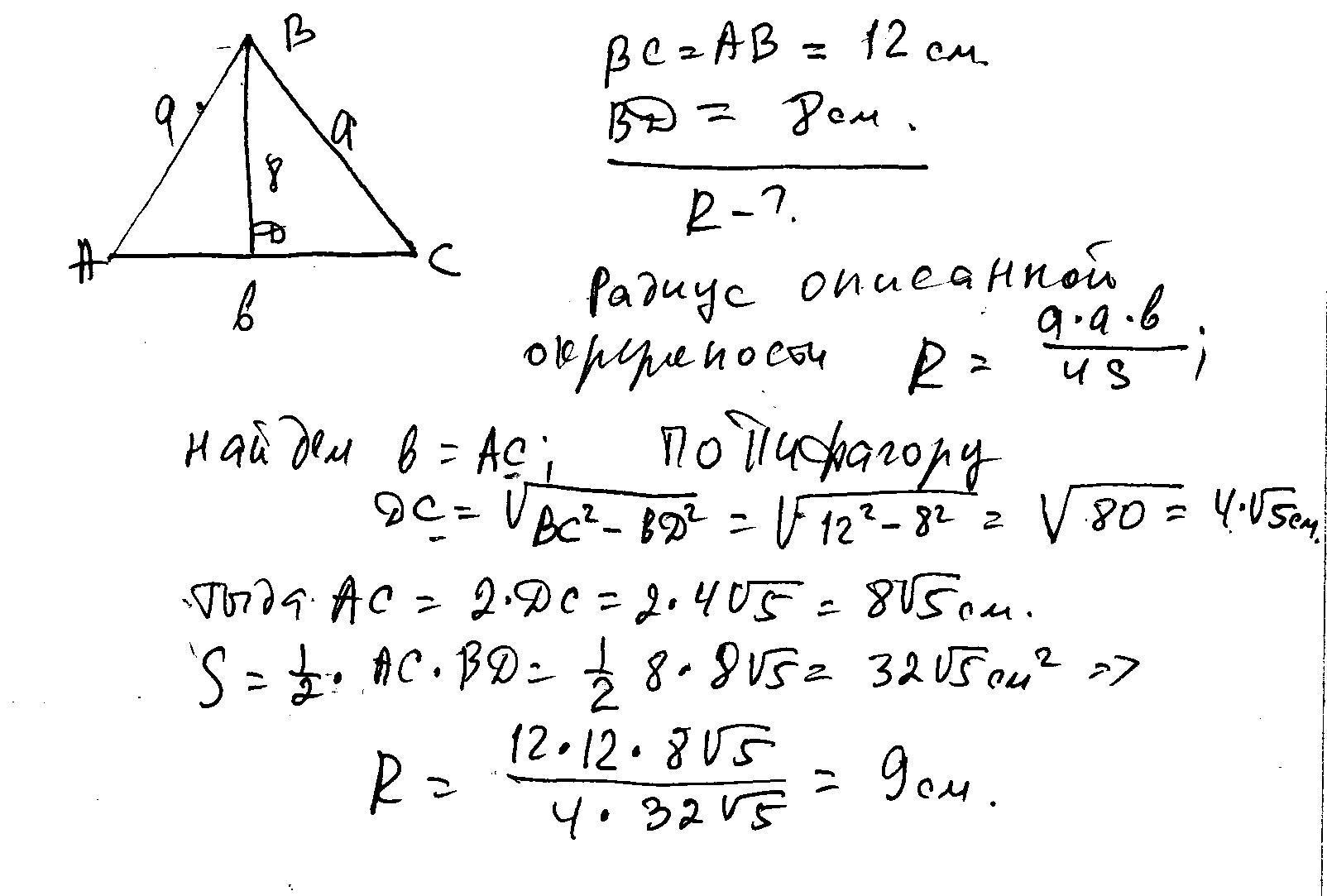
боковая сторона равнобедренного треугольника 12 см, высота, проведенная из вершины на основание, 8 см. Найдите радиус описанной окружности.
Ответы
Ответ дал:
0
боковая
сторона равнобедренного треугольника 12 см, высота, проведенная из
вершины на основание, 8 см. Найдите радиус описанной окружности.
решение в скане.................
решение в скане.................
Приложения:

Вас заинтересует
2 года назад
8 лет назад
10 лет назад
10 лет назад
10 лет назад