• Предмет: Геометрия
  • Автор: sargsyangahk2013
  • Вопрос задан 10 лет назад

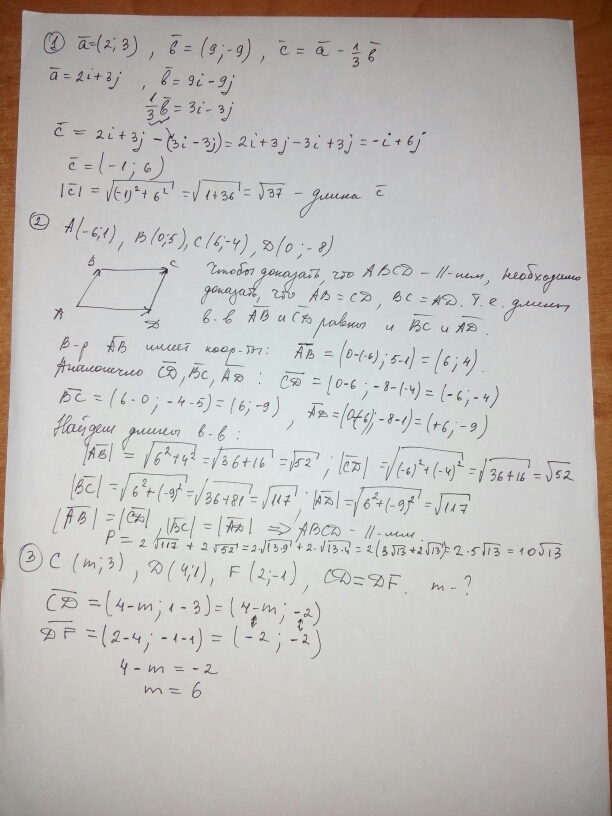
1.Дано вектор а {2;3}, вектор б{9;-9}, вектор с=вектор а-1/3вектора б
Найдите : а)координаты вектора с б) длину вектора с. Разложите вектор с по координатным векторам i и j
2.Дано А(-6;1),В(0;5),С(6;-4),Д(0;-8)
Докажите , что АВСД -параллелограмм , и найдите его периметр
3.Дано С(m;3),Д(4;1),Ф(2;-1) и вектор СД=вектору ДФ
Найдите :m

Ответы

Ответ дал: Nennn
0
..............................................................
Приложения:
Вас заинтересует