• Предмет: Алгебра
  • Автор: likas878erw
  • Вопрос задан 10 лет назад

Решите пожалуйста, 8 класс.

Приложения:

Ответы

Ответ дал: Support001
0
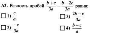
b+c/3a-b-2c/3a=
b+c-b-2c/3=-c/3a
Вас заинтересует