• Предмет: Алгебра
  • Автор: maksimus122001
  • Вопрос задан 10 лет назад

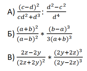
Выполните действия (Упростите выражение):
Примеры на фото

Приложения:

Ответы

Ответ дал: prostomama1
0
/////////////////////////////////
Приложения:
Вас заинтересует