Ответы
Ответ дал:
0
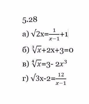
√(2x)=1/(x-1)+1 ОДЗ: 2х≥0 х≥0
√(2x)=(1+x-1)/(x-1)
√(2x)=x/(x-1) ⇒
x/(x-1)≥0
-∞____+___0____-____1____+____+∞
x∈(-∞;0]U[1;+∞)
Возведём обе части уравнения в квадрат:
2х=х²/(х-1)²
x²/(x-1)²-2x=0
x(x/(x-1)²-2)=0
x₁=0 x∈.
x/(x-1)²-2=0
x/(x-1)²=2
x=2(x-1)²=2(x²-2x+1)=2x²-4x+2
2x²-5x+2=0 D=9
x₂=2 х₂∈ x₃=0,5 х∉
Ответ: х₁=0 х₂=2
∛x+2x+3=0
∛x=-(2x+3)
Возводим в куб обе части уравнения:
x=-(2x+3)³
x=-(8x³+36x²+54x+27)
8x³+36x²+55x+27=0
x₁=-1
8x³+36x²+55x+27 I_x+1_
8x³+8x² I 8x²+28x+27
-----------
28x²+55x
28x²+28x
--------------
27x+27
27x+27
----------
0
8x²+28x+27=0 D=-80 ⇒
Это уравнение действительных корней не имеет.
Ответ: х=-1
√(3х)-2=2/(х-1) ОДЗ: 3х≥0 x≥0 x-1≠0 x≠1 ⇒ x∈[0;1)U(1;+∞)
√(3x)=2/(x-1)+2
√(3x)=(2+2x-2)/(x-1)
√(3x)=2x/(x-1) ⇒
2x/(x-1)≥0
x/(x-1)≥0
-∞___+___0___-___1___+___+∞
x∈(-∞;0]U[1;+∞)
Возводим левую и правую части уравнения в квадрат:
3x=(2x)²/(x-1)²
3x(x-1)²=(2x)²
3x³-6x²+3x=4x²
3x³-10x²+3x=0
x(3x²-10x+3)=0
x₁=0 x₁∈
3x₂-10x+3=0 D=64
x₂=3 x₂∈ x₃=1/3 x₃∉
Ответ: х₁=0 х₂=3
x^(1/4)=3-2x³
ОДЗ: x≥0 3-2x³≥0 x≤∛1,5≈1,225 ⇒x<1,225 x∈[0;1,225) ⇒
x=1.
Ответ: х=1.
√(2x)=(1+x-1)/(x-1)
√(2x)=x/(x-1) ⇒
x/(x-1)≥0
-∞____+___0____-____1____+____+∞
x∈(-∞;0]U[1;+∞)
Возведём обе части уравнения в квадрат:
2х=х²/(х-1)²
x²/(x-1)²-2x=0
x(x/(x-1)²-2)=0
x₁=0 x∈.
x/(x-1)²-2=0
x/(x-1)²=2
x=2(x-1)²=2(x²-2x+1)=2x²-4x+2
2x²-5x+2=0 D=9
x₂=2 х₂∈ x₃=0,5 х∉
Ответ: х₁=0 х₂=2
∛x+2x+3=0
∛x=-(2x+3)
Возводим в куб обе части уравнения:
x=-(2x+3)³
x=-(8x³+36x²+54x+27)
8x³+36x²+55x+27=0
x₁=-1
8x³+36x²+55x+27 I_x+1_
8x³+8x² I 8x²+28x+27
-----------
28x²+55x
28x²+28x
--------------
27x+27
27x+27
----------
0
8x²+28x+27=0 D=-80 ⇒
Это уравнение действительных корней не имеет.
Ответ: х=-1
√(3х)-2=2/(х-1) ОДЗ: 3х≥0 x≥0 x-1≠0 x≠1 ⇒ x∈[0;1)U(1;+∞)
√(3x)=2/(x-1)+2
√(3x)=(2+2x-2)/(x-1)
√(3x)=2x/(x-1) ⇒
2x/(x-1)≥0
x/(x-1)≥0
-∞___+___0___-___1___+___+∞
x∈(-∞;0]U[1;+∞)
Возводим левую и правую части уравнения в квадрат:
3x=(2x)²/(x-1)²
3x(x-1)²=(2x)²
3x³-6x²+3x=4x²
3x³-10x²+3x=0
x(3x²-10x+3)=0
x₁=0 x₁∈
3x₂-10x+3=0 D=64
x₂=3 x₂∈ x₃=1/3 x₃∉
Ответ: х₁=0 х₂=3
x^(1/4)=3-2x³
ОДЗ: x≥0 3-2x³≥0 x≤∛1,5≈1,225 ⇒x<1,225 x∈[0;1,225) ⇒
x=1.
Ответ: х=1.
Вас заинтересует
3 года назад
3 года назад
8 лет назад
10 лет назад
10 лет назад
11 лет назад