• Предмет: Алгебра
  • Автор: Erira
  • Вопрос задан 10 лет назад

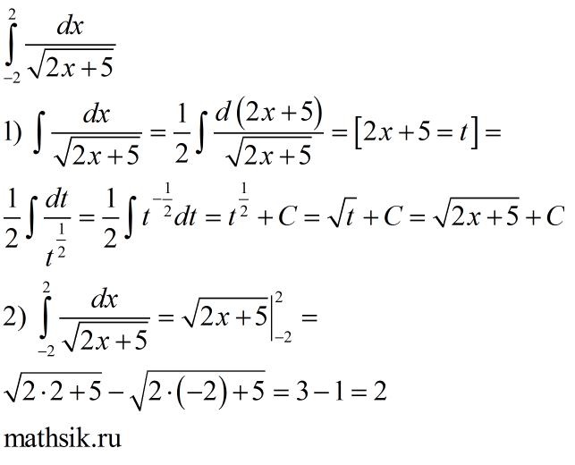
Помогите пожалуйста. Срочно нужно. Надо найти определенный интеграл. Нужно с решением.
Буду очень благодарна за помощь.

Приложения:

Ответы

Ответ дал: Аноним
0
решение 1б находится в файле
Приложения:
Ответ дал: anastasia2299
0
как вы прикрепили фотографию к решению??
Вас заинтересует