• Предмет: Алгебра
  • Автор: Матвей59рег
  • Вопрос задан 11 лет назад

Задание для 11 класса. 
 Во вложении, помогите, очень нужно, СРОЧНО!!!!

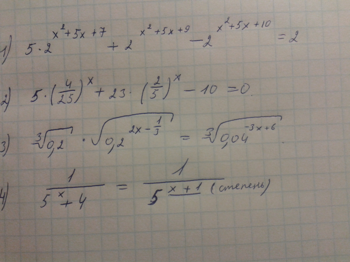
Приложения:

Ответы

Ответ дал: Shawich
0

2) 5(25)^2x + 23 (25)^x-10=0 

25^x=t

5t^2-23t-10=0

d=729

t1=5

t2=25

25^x=25 x=1

25^x=5  x=log25^x (log25^x) ^ 5 

Ответ дал: AdyaLy
0

1)

5cdot 2^{x^2+5x+7}+2^{x^2+5x+9}-2^{x^2+5x+10}=2 \ 5cdot 2^{x^2+5x+7}+2^2cdot 2^{x^2+5x+7}-2^3cdot 2^{x^2+5x+7}=2 \ 2^{x^2+5x+7}cdot(5+2^2-2^3)=2 \ 2^{x^2+5x+7}=2  => \ x^2+5x+7=1 \ x^2+5x+6=0 \ x_1=-2  x_2=-3

3)

sqrt[3]{0,2}cdot sqrt{0,2^{2x-frac{1}{3}}}=sqrt[3]{0,04^{-3x+6}} \ 0,2^{frac{1}{3}} cdot 0,2^{x-frac{1}{6}}=sqrt[3]{0,2^{-6x+12}} \ 0,2^{frac{1}{3}} cdot 0,2^{x-frac{1}{6}}=0,2^{-2x+4} \ 0,2^{x+frac{1}{6}}=0,2^{-2x+4}  => \ x+frac{1}{6}=-2x+4 \ 3x=frac{23}{6} \ x=frac{23}{18}

4)

frac{1}{5^x+4}=frac{1}{5^{x+1}} \ 5^{x+1}=5^x+4 \ 5 cdot 5^x = 5^x+4 \ 4 cdot 5^x = 4 \ 5^x = 1 \ x=0

Вас заинтересует