• Предмет: Алгебра
  • Автор: fwenfmwenfelk
  • Вопрос задан 10 лет назад

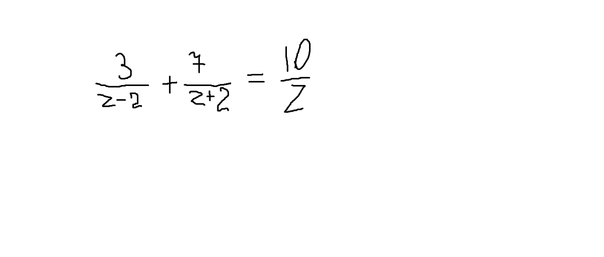
При каком значение переменной выполняется равенство :

Приложения:

Ответы

Ответ дал: miron2077
0
еле нашел твой вопрос!
Приложения:
Ответ дал: miron2077
0
Точно поняла? А то еще раз объясню!
Ответ дал: fwenfmwenfelk
0
да , спасибо ,поможешь решить ещё одно уравнение ...
Ответ дал: fwenfmwenfelk
0
http://znanija.com/task/13575247
Ответ дал: miron2077
0
через 10 минут! Подождешь?
Ответ дал: fwenfmwenfelk
0
ага
Вас заинтересует