• Предмет: Алгебра
  • Автор: fwenfmwenfelk
  • Вопрос задан 10 лет назад

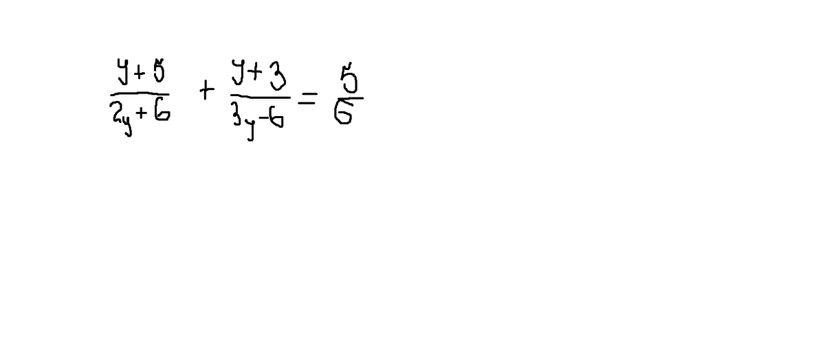
При каком значение переменной выполняется равенство :

Приложения:

Ответы

Ответ дал: miron2077
0
если исходное написано правильно, то ответ такой. Перерешал три раза
Приложения:
Ответ дал: fwenfmwenfelk
0
аа...Спасибо:)
Ответ дал: miron2077
0
пожалуйста!
Ответ дал: fwenfmwenfelk
0
Мирон
Ответ дал: miron2077
0
Что?
Ответ дал: miron2077
0
Ты уж, наверно, спишь?
Вас заинтересует