Ответы
Ответ дал:
0
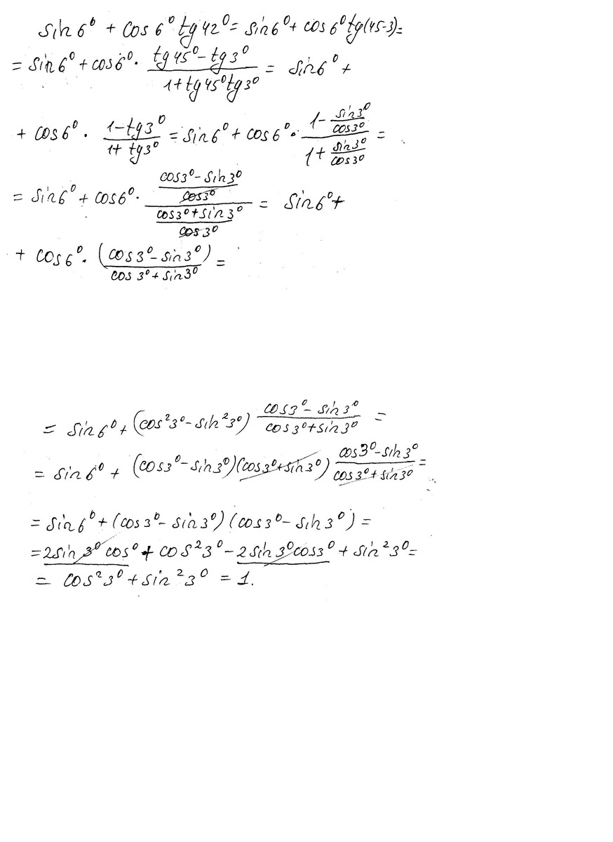
Решение в приложении. Ответ: 1.
Используются формулы
cos(2α)=cos²α-sin²α
cos 6°=cos(2*3°)=cos²3°-sin²3°
sin 6°=sin(2*3°)=2sin3°·cos3°
Используются формулы
cos(2α)=cos²α-sin²α
cos 6°=cos(2*3°)=cos²3°-sin²3°
sin 6°=sin(2*3°)=2sin3°·cos3°
Приложения:
Вас заинтересует
2 года назад
2 года назад
8 лет назад
11 лет назад
11 лет назад