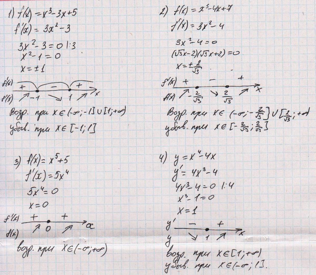
Найдите промежутки возрастания и убывания функции 1)f(x)=x^3-3x+5
2)f(x)=x^3-4x+7
3)f(x)=x^5+5
4)y=x^4-4x
Ответы
Ответ дал:
0
Решение прикреплено во вложении.
Приложения:

Вас заинтересует
2 года назад
8 лет назад
8 лет назад
10 лет назад
10 лет назад
10 лет назад