Ответы
Ответ дал:
0
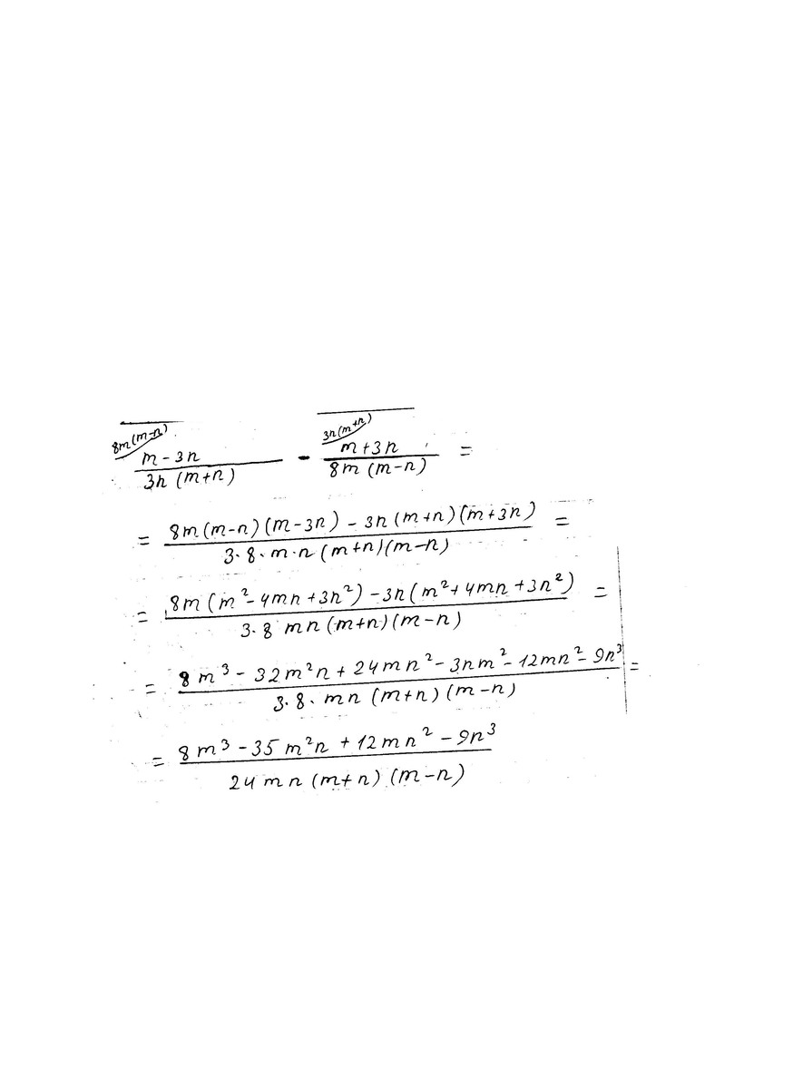
Решение в приложении.
Первое задание во втором приложении. Но не знаю насчет верности понимания (написано непонятно на фотке) и решения.
Первое задание во втором приложении. Но не знаю насчет верности понимания (написано непонятно на фотке) и решения.
Приложения:
Вас заинтересует
3 года назад
8 лет назад
10 лет назад
10 лет назад
11 лет назад