• Предмет: Математика
  • Автор: sabinashreider
  • Вопрос задан 10 лет назад

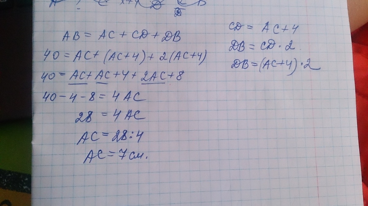
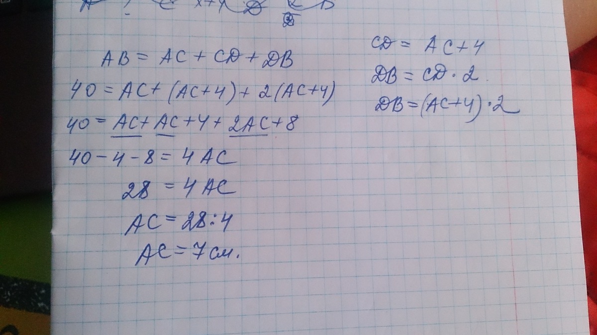
Длина отрезка АБ равна 40см. . Точки С и Д делят отрезок АБ на отрезки АС СД и ДБ . Длина отрезка СД на 4 см. больше, чем длина отрезка АС но в 2 раза меньше чем длина отрезка ДБ . Помогите найти длину отрезка АС.

Ответы

Ответ дал: khudaverdiyeva
0
надеюсь все понятно и удачи
Приложения:
Ответ дал: khudaverdiyeva
0
CD=7+4=11 см
Ответ дал: khudaverdiyeva
0
DB=11*2=22 см
Вас заинтересует