• Предмет: Алгебра
  • Автор: ZayacZnaniy
  • Вопрос задан 10 лет назад

Решите пожалуйста! Буду благодарен. Если можно, подробно.

Приложения:

Ответы

Ответ дал: NightWolf123
0
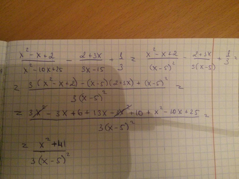
Ну тогда так.
3 раза перерешивал


Приложения:
Ответ дал: linar20011
0
знаменитель 3(х-5)2степени
Ответ дал: linar20011
0
ответ 2х-3х2степени +27
Ответ дал: bearcab
0
Переставьте картинку на верную.
Ответ дал: NightWolf123
0
лол. Как и у меня
Ответ дал: NightWolf123
0
Ну да, теперь правильно. точно)
Ответ дал: bearcab
0
Решение в приложении. 
Приложения:
Ответ дал: bearcab
0
Нет, не будет 78, там будет 108
Ответ дал: ZayacZnaniy
0
http://znanija.com/task/13589480
Ответ дал: ZayacZnaniy
0
Да, 108 должно быть, но у меня никак это число не выходит :(
Ответ дал: ZayacZnaniy
0
и еще один :3 38 баллов, если решите.. http://znanija.com/task/13589645
Ответ дал: ZayacZnaniy
0
пожалуйста
Вас заинтересует