Ответы
Ответ дал:
0
решение во вложениииииииииииииииииииииииииииииииии
Приложения:

Ответ дал:
0
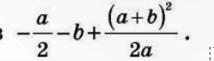
-a/2 - b +(a+b)²/2a=(-a²-2ab+a²+2ab+b²)2a=b²/2a
Приложения:

Вас заинтересует
2 года назад
2 года назад
7 лет назад
7 лет назад
10 лет назад
10 лет назад
10 лет назад
10 лет назад