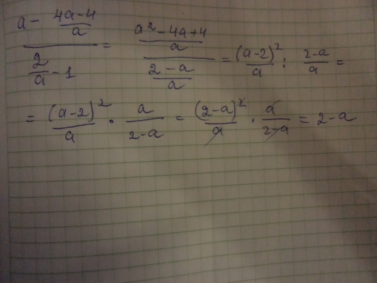
Помогите пожалуйста, очень срочно надо ! Выражение а-4а-4/а/2/a-1 представьте в виде рациональной дроби и найдите её область допустимых значений.
Ответы
Ответ дал:
0
Урааааааааааааааааааа решение во вложениииииииииииииииииии
Приложения:

Вас заинтересует
2 года назад
7 лет назад
10 лет назад
10 лет назад