• Предмет: Физика
  • Автор: Рузечка
  • Вопрос задан 10 лет назад

Помогите решить задачу (одну из трёх на ваш выбор), заранее спасибо.

Приложения:

Ответы

Ответ дал: blad3518
0
,,,,,,,,,,,,,,,,,,,,,,,,,,,,,,,,,,,,,,,,,,,
Приложения:
Ответ дал: Аноним
0
Задача 1 ответ 75 Подробное решение в вк public80386975 лайк там за решение
Приложения:
Ответ дал: Рузечка
0
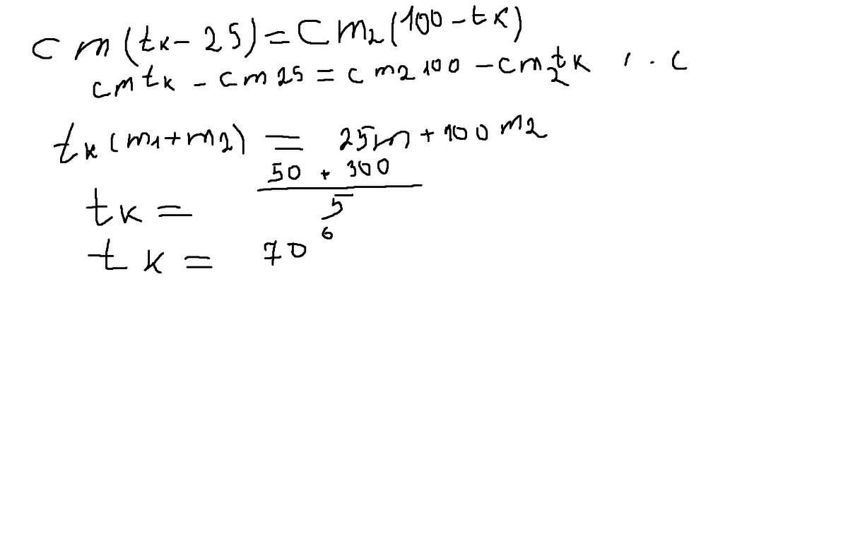
в 1 задаче ответ 70☺️
Ответ дал: Аноним
0
Да точно.... глюканул и 25 умножил на 3..... спс
Вас заинтересует