Вычислить пределы...
Помогите, пожалуйста, если можно, то с объяснением
1. lim x^3+x+2 / x^3+1
x-->-1
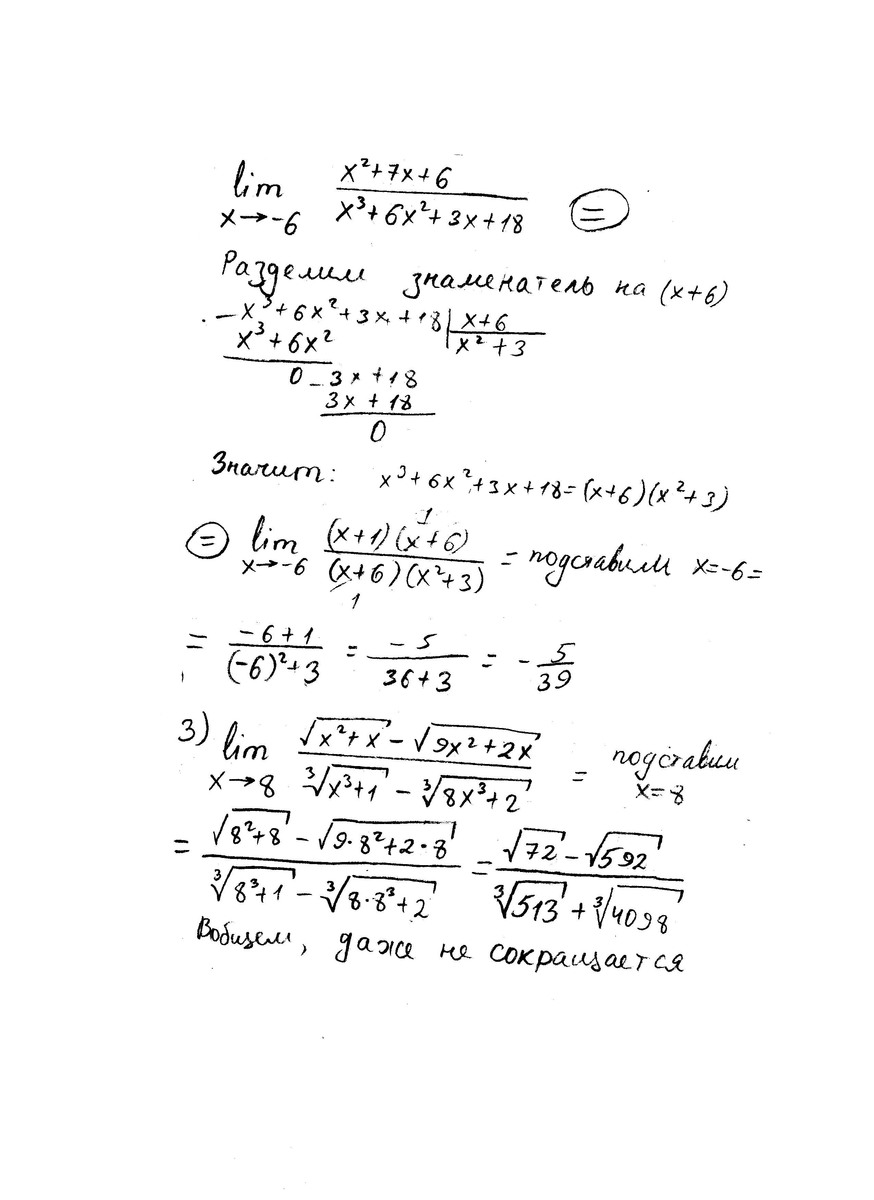
2. lim x^2+7x+6 / x^3+6x^2+3x+18
x-->-6
тут ответ -5/39 ?
3. lim корень(x^2+x) - корень(9x^2+2x) / корень 3 ст.(x^3+1) - корень 3 ст.(8x^3+2)
x-->8
Ответы
Ответ дал:
0
Решение в приложении.
Приложения:


Ответ дал:
0
Угадать корешок, скажем х=а - корень, и поделить многочлен на многочлен (х-а). Будет Вам счастье)
Ответ дал:
0
ПЕРЕПИСЫВАЙТЕСЬ В ЛС У МЕНЯ ГУДИТ ТЕЛ ИЗ ЗА ВАШИХ КОММЕНТОВ
Ответ дал:
0
ПЕРЕПИСЫВАЙТЕСЬ В ЛС У МЕНЯ ГУДИТ ТЕЛ ИЗ ЗА ВАШИХ КОММЕНТОВ
Ответ дал:
0
Бедняга, мы Вас отвлекаем)
Ответ дал:
0
))
Вас заинтересует
2 года назад
2 года назад
7 лет назад
10 лет назад
10 лет назад
10 лет назад
10 лет назад