• Предмет: Алгебра
  • Автор: Касенбаева
  • Вопрос задан 10 лет назад

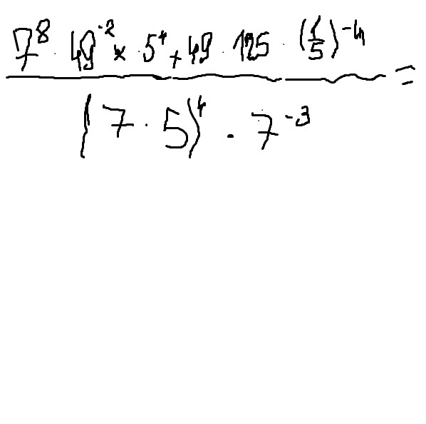
всем привет!помогите пожалуйста!30!

Приложения:

Ответа на этот вопрос пока нет. Попробуйте найти его через форму поиска.

Вас заинтересует