• Предмет: Математика
  • Автор: lianatarasova
  • Вопрос задан 10 лет назад

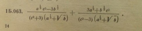
Помогите решить действия со степенями
a^1/3*с^2- 3b^1/2 / (с^2+3)*(a^1/3 + корень * b^-) + 3a^1/3+b^1/2*с^2/ (с^2-3)* (a^1/3+ корень * b^-)

Приложения:

Ответы

Ответ дал: Юленька194
0
вот...выполнила пару преобразований со степенями
Приложения:
Вас заинтересует