• Предмет: Геометрия
  • Автор: RinaBolkova
  • Вопрос задан 10 лет назад

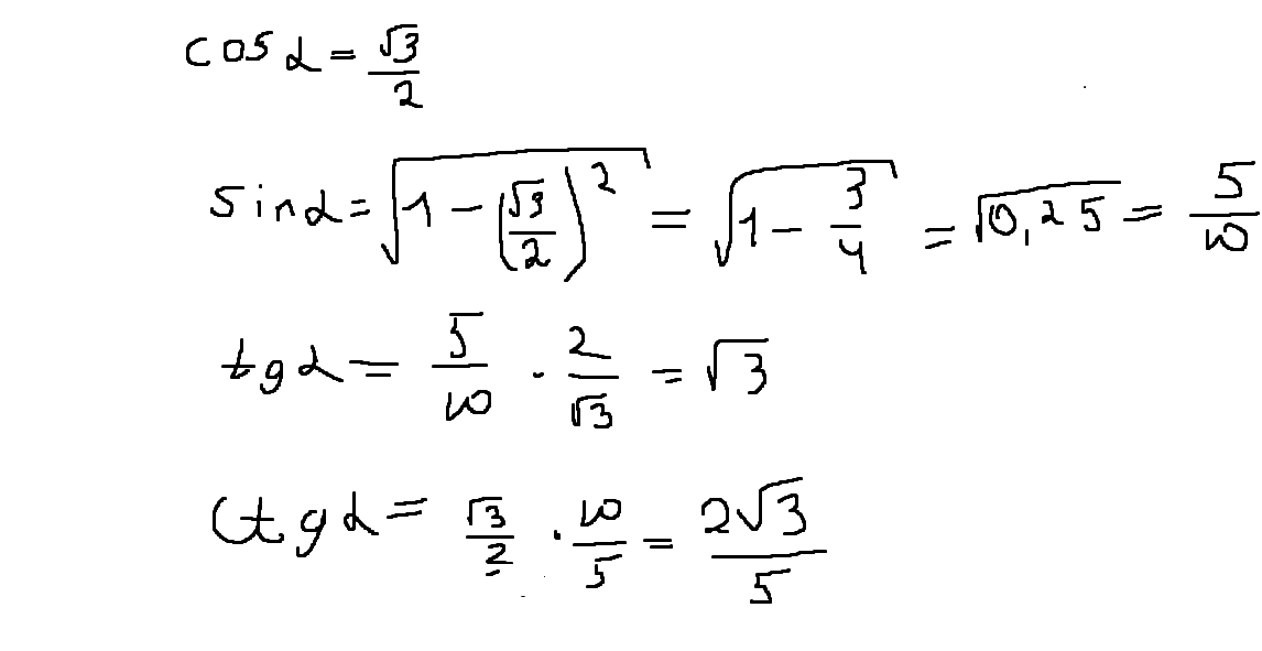
Найдите sin a,tg a если cos a = √3 / 2

Ответы

Ответ дал: BOG126
0
1122131242343254235435
Приложения:
Вас заинтересует