• Предмет: Алгебра
  • Автор: Seminaja
  • Вопрос задан 10 лет назад

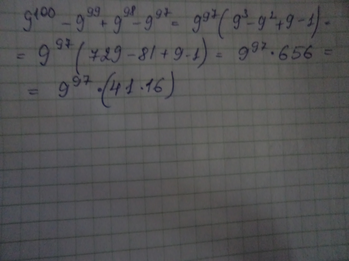
Докажите , что 9^100-9^99+9^98-9^97 делится на 41.

Ответы

Ответ дал: Mydrый
0
решение во вложенииииииииииииииииииииииииииии
Приложения:
Вас заинтересует