• Предмет: Математика
  • Автор: Kristinka4VKlass
  • Вопрос задан 10 лет назад

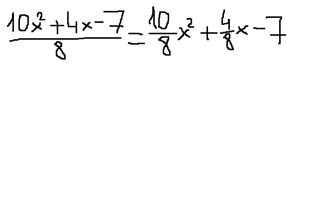
является ли алгебраической дробью выражение: 10х² + 4х - 7 - числитель, 8 - знаменатель

Ответы

Ответ дал: Tryam123
0
Нет, это многочлен.На скрине решение. Удачи! :з
Приложения:
Ответ дал: Kristinka4VKlass
0
СПАСИБО!
Вас заинтересует