• Предмет: Математика
  • Автор: ZhannALLone
  • Вопрос задан 10 лет назад

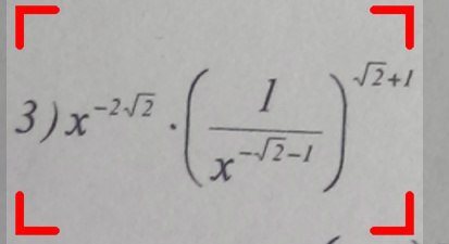
Помогите решить это пожалуйста. 10 класс, алгебра.

Приложения:

Ответы

Ответ дал: mymurkin
0
x^{-2 sqrt{2} }*x^{ (sqrt{2}+1)({ sqrt{2}+1 }) }=x^{ -2sqrt{2}+2+2 sqrt{2}+1  }=x^3
Ответ дал: ZhannALLone
0
Спасиииибо большое)
Вас заинтересует