Ответы
Ответ дал:
0
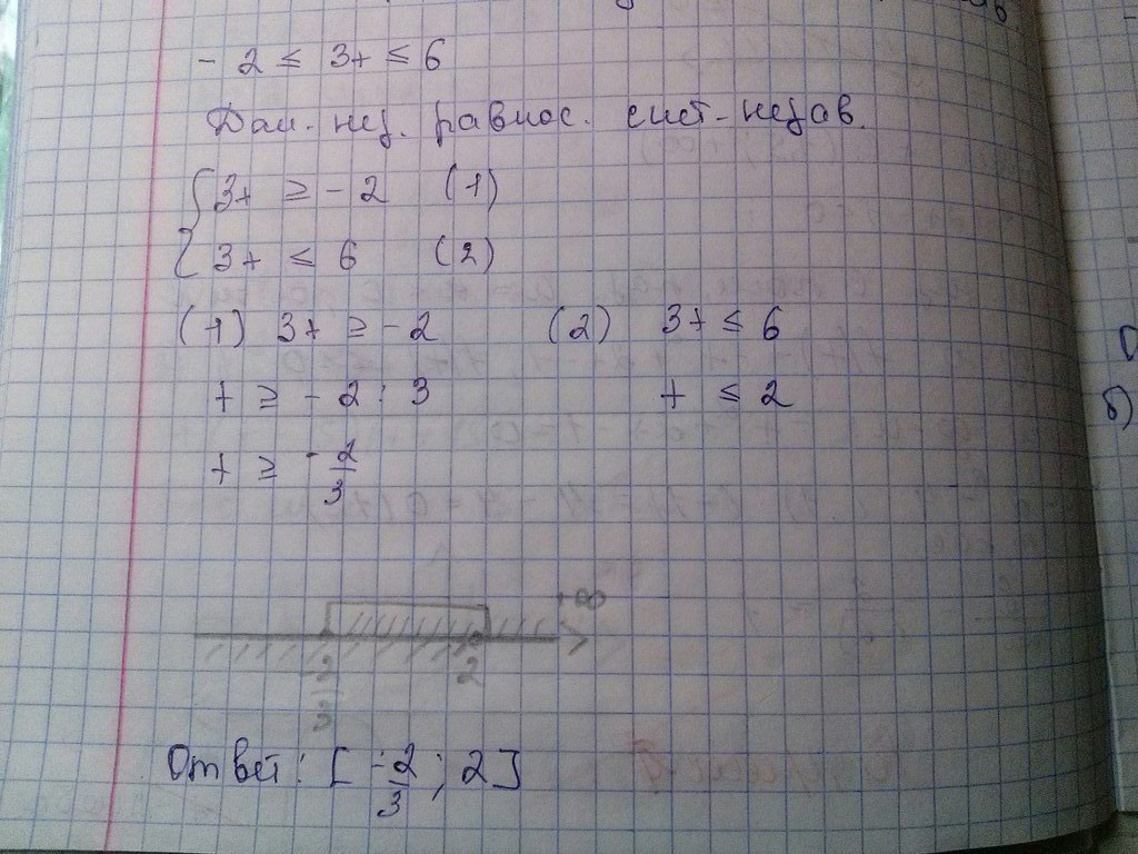
-2 ≤ 3х ≤ 6
-2/3 ≤ х ≤ 2
x∈[-2/3;3]
-2/3 ≤ х ≤ 2
x∈[-2/3;3]
Ответ дал:
0
А мы решаем так!
Ответ дал:
0
Ахах,молодец!
Ответ дал:
0
И Вам спасибо :)
Ответ дал:
0
Не знаю как у вас,но мы решаем так :)
Приложения:

Ответ дал:
0
Благодарю!
Вас заинтересует
2 года назад
2 года назад
7 лет назад
10 лет назад
10 лет назад