Ответы
Ответ дал:
0
редко правда, но встречаются неравенства, которые и решать не нужно...
т.к. у них ОДЗ --пустое множество...
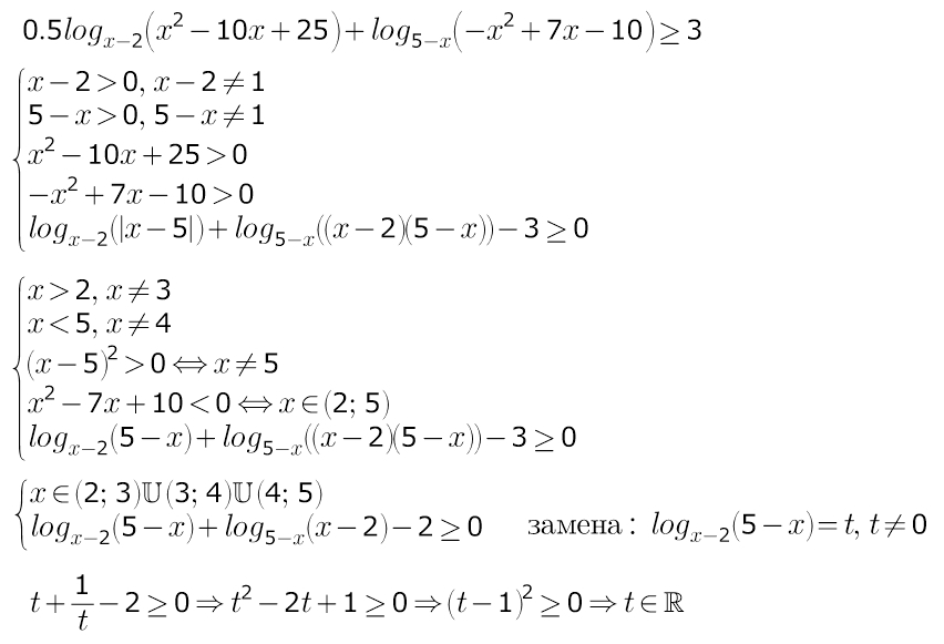
одно решение (2)) я нарисовала, второе
(1)) предлагаю сделать самостоятельно (аналогично)))
в 2) получилось, что логарифмическое неравенство равносильно квадратному, которое выполняется для любых значений переменной...
следовательно, решением будет ОДЗ ---любые допустимые значения...
x∈(2; 3) U (3; 4) U (4; 5)
т.к. у них ОДЗ --пустое множество...
одно решение (2)) я нарисовала, второе
(1)) предлагаю сделать самостоятельно (аналогично)))
в 2) получилось, что логарифмическое неравенство равносильно квадратному, которое выполняется для любых значений переменной...
следовательно, решением будет ОДЗ ---любые допустимые значения...
x∈(2; 3) U (3; 4) U (4; 5)
Приложения:

Вас заинтересует
2 года назад
7 лет назад
7 лет назад
10 лет назад
10 лет назад
10 лет назад