Ответы
Ответ дал:
0
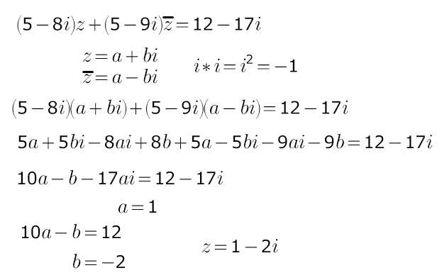
комплексные числа равны, если у них
равны действительные части и
равны мнимые части...
равны действительные части и
равны мнимые части...
Приложения:

Вас заинтересует
2 года назад
2 года назад
7 лет назад
7 лет назад
10 лет назад
10 лет назад
10 лет назад
10 лет назад