• Предмет: Математика
  • Автор: kitzunelis
  • Вопрос задан 10 лет назад

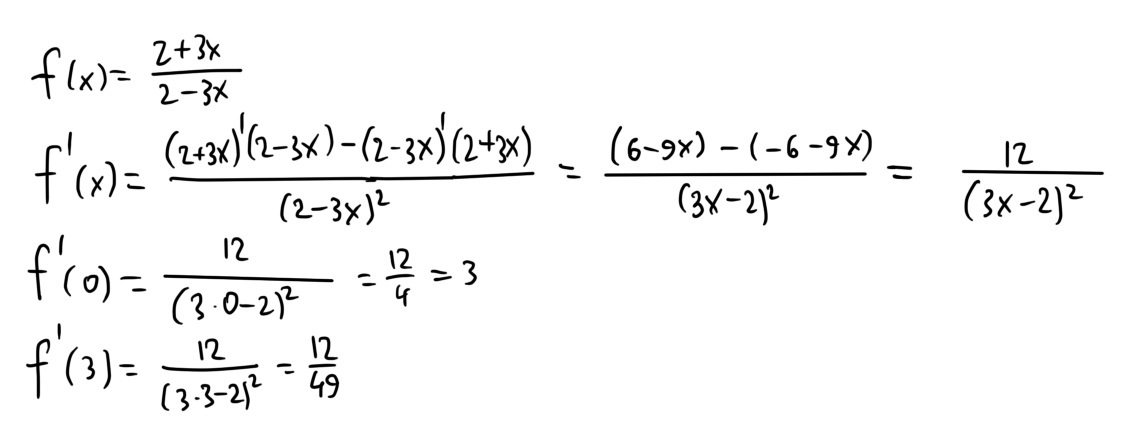
Пусть f(x)=2+3x/2-3x. Найдите f'(x), f'(0), f'(3).

Ответы

Ответ дал: nikolac
0
Решение на картинке.
Приложения:
Вас заинтересует