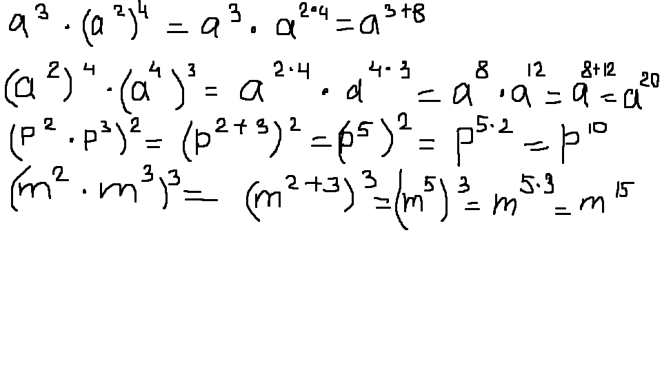
Упростите Выражение. a в кубе умножить на ( a в квадрате) в четвертой степени. (a в квадрате) в четвертой степени умножить на (a в четвертой степени) в кубе. ( P в квадрате умножить на P в кубе) в квадрате. (m в квадрате умножить на m в кубе) в кубе.
Ответы
Ответ дал:
0
простейшие правила: при умножении степеней показатели складываются, при возведении в степень- перемножаются
Приложения:
Вас заинтересует
3 года назад
3 года назад
8 лет назад
8 лет назад
10 лет назад
10 лет назад
11 лет назад