Тригонометрия 10 класс. Решите подробно, пожалуйста. НА ЛИСТОЧКЕ! Фото решения скинете сюда
Приложения:

Ответы
Ответ дал:
0
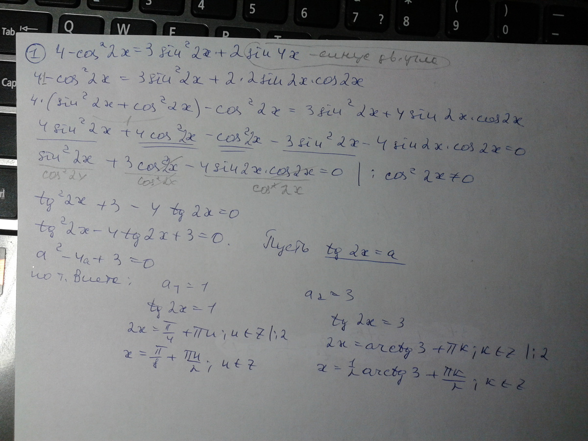
Всё подробно написала в решении.
Приложения:




Ответ дал:
0
Благодарю! Огромное Вам спасибо!
Вас заинтересует
2 года назад
7 лет назад
7 лет назад
10 лет назад
10 лет назад
10 лет назад
10 лет назад