• Предмет: Алгебра
  • Автор: МАрИйКа14
  • Вопрос задан 11 лет назад

Помогите пожалуйста с алгеброй.

Приложения:

Ответы

Ответ дал: Artem112
0

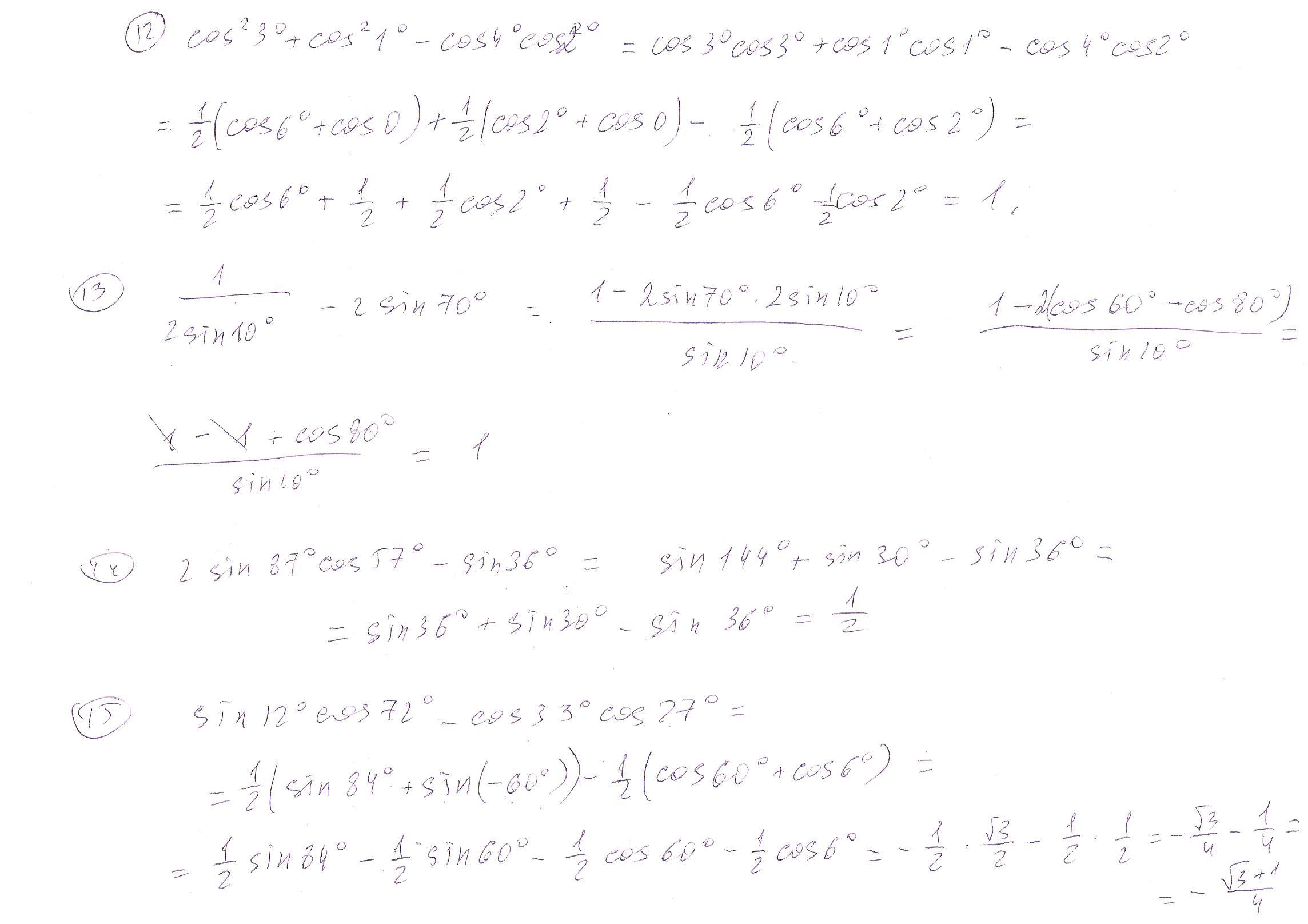
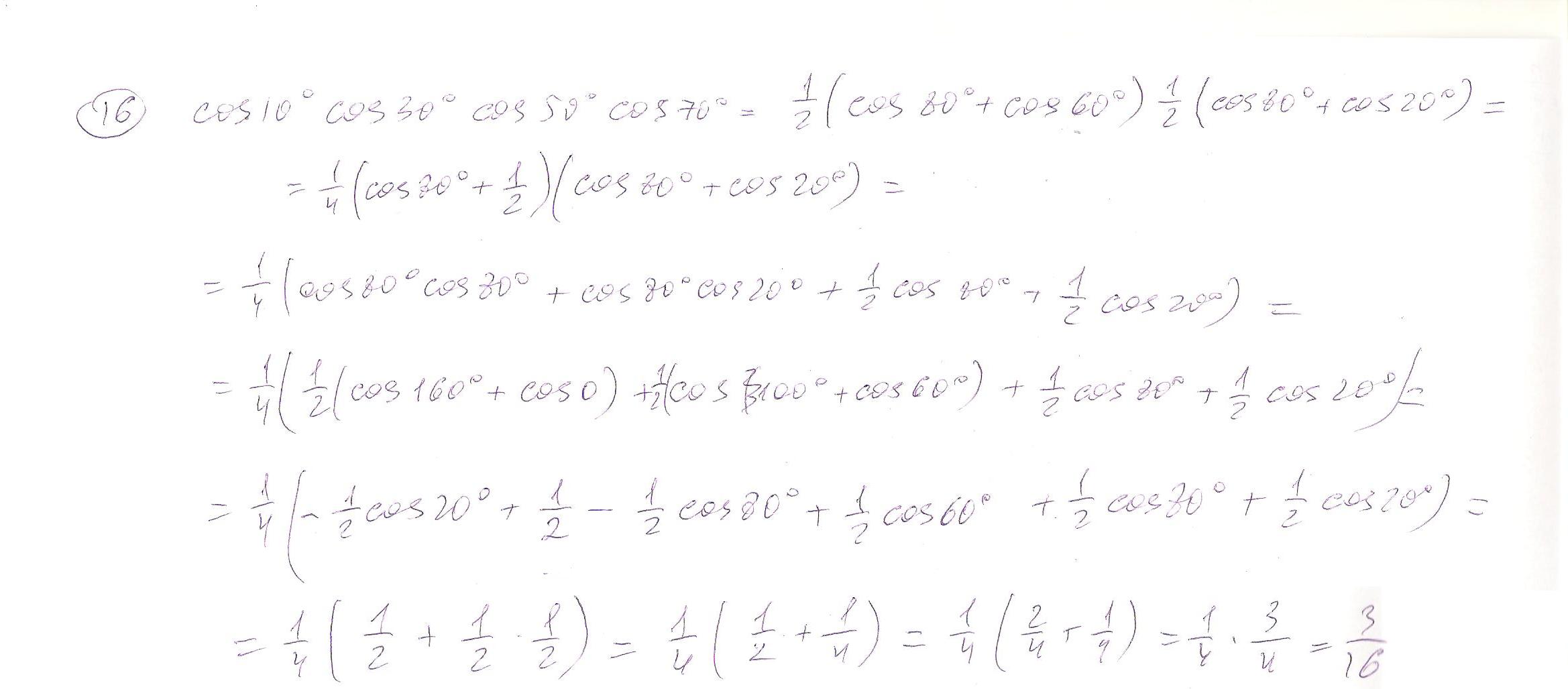
надеюсь будет понятно....

Приложения:
Вас заинтересует