Ответы
Ответ дал:
0
N1
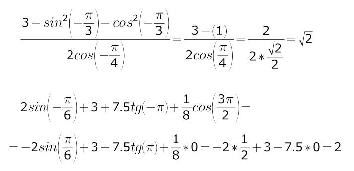
5 )= (3 -(sin² (-π/3) +cos²(-π/3)) )/2cosπ/4) =(3-1)/√2 =2/√2 =√2.
6) =2*(-1/2) + 3 +7,5 *0 +(1/8)*0 =2.
*****************************
N2
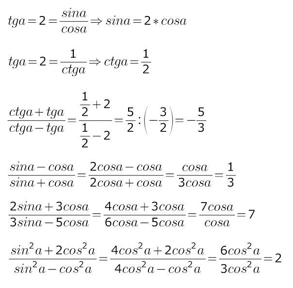
1) = (1+tq²α)/(1-tq²α) = || tqα =2 || = (1+2²)/(1-2²) =5/(-3) =- 5/3.
2) =|| разд числ и знам на cosα || =(tqα -1)/(tqα+1) =|| tqα =2|| =(2-1)/(2+1) = 1/3.
3) = (2tqα+3) /(3tqα+5) =|| tqα =2|| = (2*2+3)/(3*2+5) =7/11.
4) =|| разд числ и знам на cos²α|| =(tq²α+2)/(tq²α -1)=|| tqα =2|| =(2²+2)/(2²-1) =2.
5 )= (3 -(sin² (-π/3) +cos²(-π/3)) )/2cosπ/4) =(3-1)/√2 =2/√2 =√2.
6) =2*(-1/2) + 3 +7,5 *0 +(1/8)*0 =2.
*****************************
N2
1) = (1+tq²α)/(1-tq²α) = || tqα =2 || = (1+2²)/(1-2²) =5/(-3) =- 5/3.
2) =|| разд числ и знам на cosα || =(tqα -1)/(tqα+1) =|| tqα =2|| =(2-1)/(2+1) = 1/3.
3) = (2tqα+3) /(3tqα+5) =|| tqα =2|| = (2*2+3)/(3*2+5) =7/11.
4) =|| разд числ и знам на cos²α|| =(tq²α+2)/(tq²α -1)=|| tqα =2|| =(2²+2)/(2²-1) =2.
Ответ дал:
0
---------------------------------------------
Приложения:
Вас заинтересует
3 года назад
8 лет назад
8 лет назад
10 лет назад
11 лет назад