• Предмет: Алгебра
  • Автор: lllokoladka
  • Вопрос задан 10 лет назад

срочно помогите пожалуйста
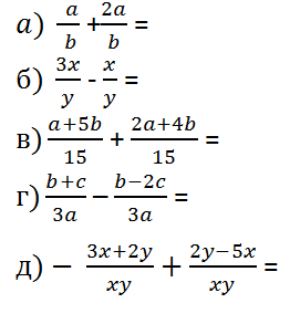
На фото все написано

Приложения:

Ответы

Ответ дал: leyman17
0
а) 3а/b
б) 2х/у
в) 3а+9b / 15
г) 3c/3a=c/a
д) - 8х/ху= -8/у
Вас заинтересует