1. Упростите выражение:
а 6корень квадратный из 3 +корень квадратный из 27 - 3 корень квадратный из 75
б)(корень квадратный из 50 - 2корень квадратный из2)корень квадратный из2
в)(2- корень квадратный из3 и еще в квадрате)
2.Сравните:1вторая умноженное на корень квадратный из 12 и одна третья корень квадратный из 45
Сократите дробь: числитель корень квадратный из 3 -3 знаменатель корень квадратный из 5- корень квадратный из15
б0 числитель а - 2корень квадратный из а заменатель3корень квадратный из а-6
Ответы
Ответ дал:
0
.................................
Приложения:

Ответ дал:
0
1
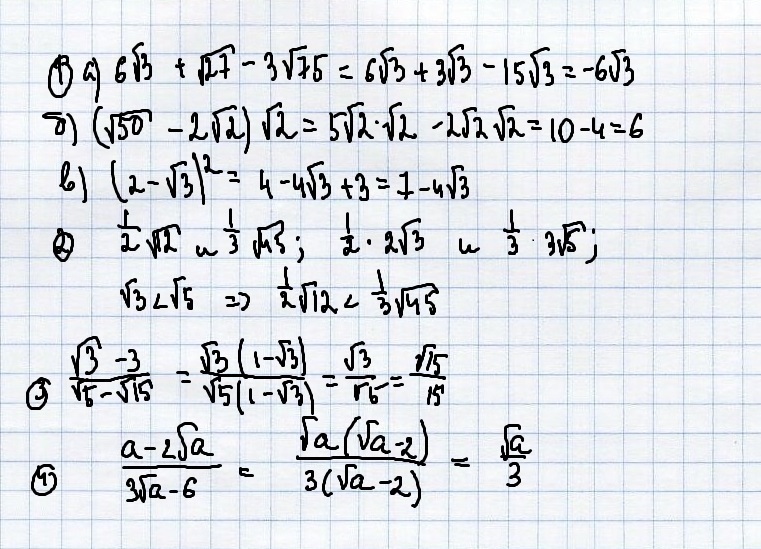
а)6√3+√27-3√√75=6√3+3√3-3*5√3=9√3-15√3=-6√3
б)(√50-2√2)*√2=√100-2√4=10-2*2=10-4=6
в)(2-√3)²=4-4√3+3=7-4√3
2
1/2*√12=√(1/4*12)=√3
1/3*√45=√(1/9*45)=√5
√3<√5⇒1/2*√12<1/3*√45
3
а)(√3-3)/(√5-√15)=√3(1-√3)/√5(1-√3)=√3/√5=√15/5
б)(a-2√a)/(3√a-6)=√a(√a-2)/3(√a-2)=√a/3
а)6√3+√27-3√√75=6√3+3√3-3*5√3=9√3-15√3=-6√3
б)(√50-2√2)*√2=√100-2√4=10-2*2=10-4=6
в)(2-√3)²=4-4√3+3=7-4√3
2
1/2*√12=√(1/4*12)=√3
1/3*√45=√(1/9*45)=√5
√3<√5⇒1/2*√12<1/3*√45
3
а)(√3-3)/(√5-√15)=√3(1-√3)/√5(1-√3)=√3/√5=√15/5
б)(a-2√a)/(3√a-6)=√a(√a-2)/3(√a-2)=√a/3
Приложения:

Вас заинтересует
2 года назад
8 лет назад
8 лет назад
10 лет назад
10 лет назад