Ответы
Ответ дал:
0
Решение
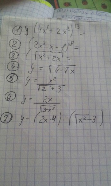
1) y = (4x³ + 2x²)¹³
y` = 13*(4x³ + 2x²)¹² * (12x² + 4x)
2) y = (2x² - x - 1)⁸
y` = 8*(2x² - x - 1)⁷ * (4x - 1)
3) y = √(x² + 2x)
y` (1/2)*(x² + 2x)⁻¹/² * (2x + 2) = (x + 1) / √(x² + 2x)
4) y = √(4 - 7x)
y` = (1/2)*(4 - 7x)⁻¹/² * (-7) = - 3,5/√(4 - 7x)
5) y = x² / (√2 + 3)
y` = 2x/(√2 + 3)
6) y = 2x / √(3 - x²)
y` =[(2*√(3 - x²) - (1/2)*(3 - x²)⁻¹/² * (-2x)*(2x)] / (√(3 - x²)
7) y = (2x - 4)*√(x² - 3)
y` = 2*√(x² - 3) + (1/2)*(x² - 3)⁻¹/² * 2x * (2x - 4)
1) y = (4x³ + 2x²)¹³
y` = 13*(4x³ + 2x²)¹² * (12x² + 4x)
2) y = (2x² - x - 1)⁸
y` = 8*(2x² - x - 1)⁷ * (4x - 1)
3) y = √(x² + 2x)
y` (1/2)*(x² + 2x)⁻¹/² * (2x + 2) = (x + 1) / √(x² + 2x)
4) y = √(4 - 7x)
y` = (1/2)*(4 - 7x)⁻¹/² * (-7) = - 3,5/√(4 - 7x)
5) y = x² / (√2 + 3)
y` = 2x/(√2 + 3)
6) y = 2x / √(3 - x²)
y` =[(2*√(3 - x²) - (1/2)*(3 - x²)⁻¹/² * (-2x)*(2x)] / (√(3 - x²)
7) y = (2x - 4)*√(x² - 3)
y` = 2*√(x² - 3) + (1/2)*(x² - 3)⁻¹/² * 2x * (2x - 4)
Вас заинтересует
3 года назад
8 лет назад
8 лет назад
10 лет назад
11 лет назад
11 лет назад