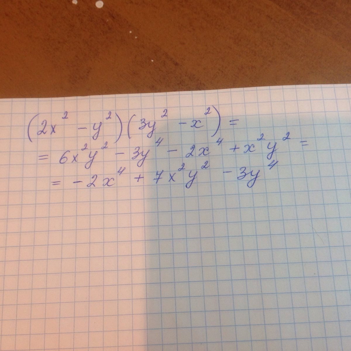
упростите выражение (2х(во второй степени)-у(во второй степени)(3у(во второй степени)-х(во второй степени)
Ответы
Ответ дал:
0
Решение смотри в приложении
Приложения:

Ответ дал:
0
СПАСИБО БОЛЬШОЕ ВЫ И ОТВЕТ НАПИСАЛИ?
Ответ дал:
0
можете пожалуйста помочь?упростите выражение (х-2)(х+3)
Ответ дал:
0
Приложения:

Вас заинтересует
2 года назад
2 года назад
7 лет назад
7 лет назад
10 лет назад
10 лет назад
10 лет назад