• Предмет: Геометрия
  • Автор: vladas20001
  • Вопрос задан 10 лет назад

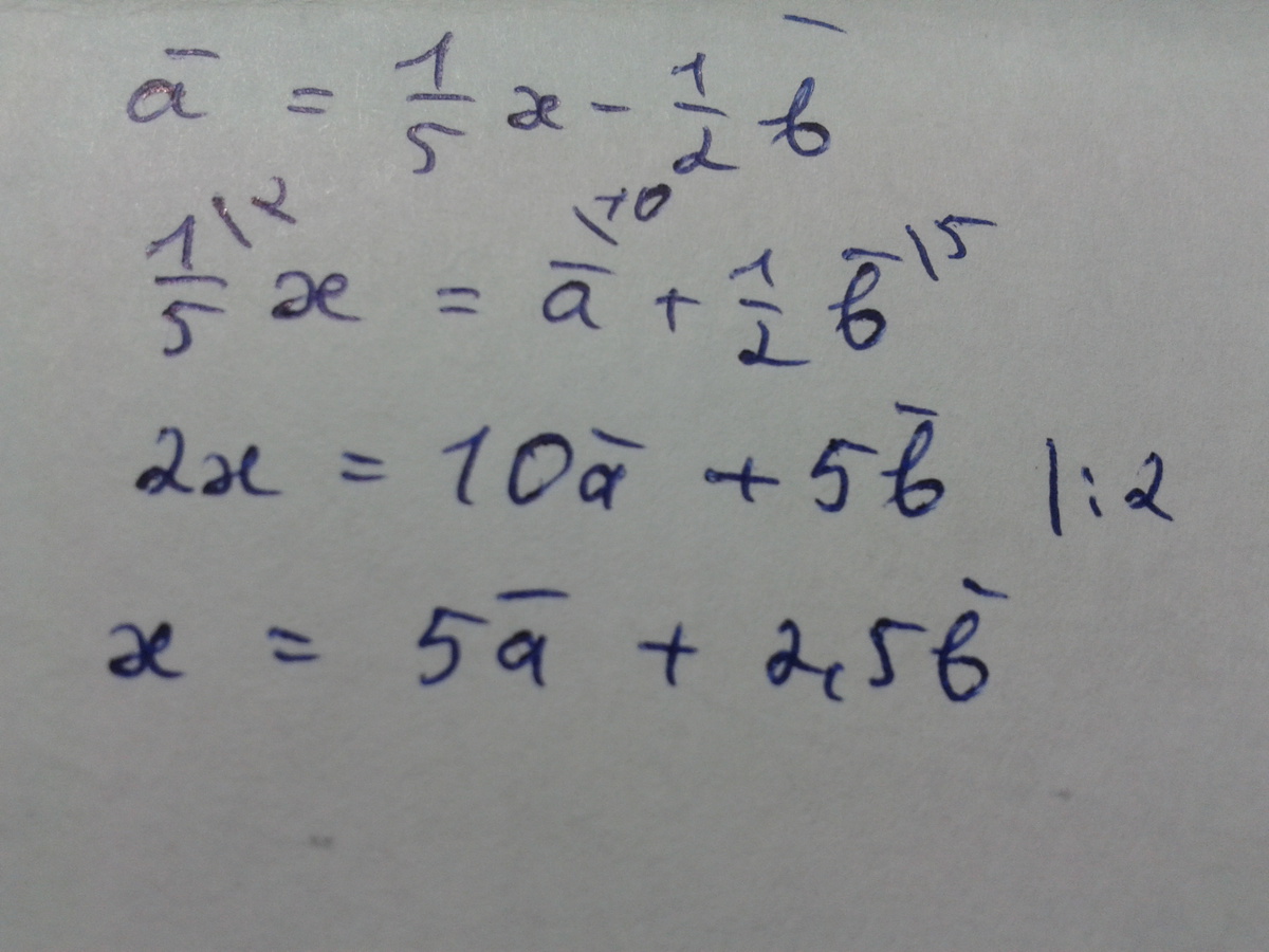
Известно, что выполнено равенство (векторов) a = 1/5x - 1/2b .
Выразите вектор x через векторы a и b.

Ответы

Ответ дал: irinan2014
0
Решаем как уравнение.
Приложения:
Вас заинтересует