• Предмет: Алгебра
  • Автор: Мариша015
  • Вопрос задан 10 лет назад

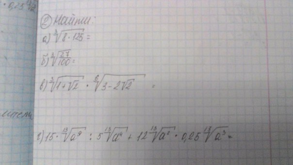
Помогите пожалуйста!! Найти:

Приложения:

Ответы

Ответ дал: ВладимирБ
0
решение смотри в приложении
Приложения:
Вас заинтересует