• Предмет: Алгебра
  • Автор: Мариша015
  • Вопрос задан 10 лет назад

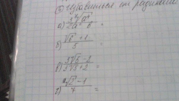
Избавиться от корня в числители:

Приложения:

Ответы

Ответ дал: ВладимирБ
0
решение смотри в приложении
Приложения:
Вас заинтересует