Ответы
Ответ дал:
0
Решение
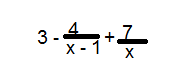
3 - 4/(x-1) + 7/x = [3*(x² - x) - 4*x + 7*(x - 1)] / (x² - x) =
= (3x² - 3x - 4x + 7x - 7) / (x² - x) = (3x² - 7) / (x² - x)
3 - 4/(x-1) + 7/x = [3*(x² - x) - 4*x + 7*(x - 1)] / (x² - x) =
= (3x² - 3x - 4x + 7x - 7) / (x² - x) = (3x² - 7) / (x² - x)
Вас заинтересует
3 года назад
3 года назад
8 лет назад
8 лет назад
10 лет назад
10 лет назад
11 лет назад