Ответы
Ответ дал:
0
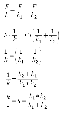
общий множитель (F) вынесли за скобки
и сократили на него...
привели дроби к общему знаменателю...
а потом записали обратную дробь...
или можно по свойству пропорции...
и сократили на него...
привели дроби к общему знаменателю...
а потом записали обратную дробь...
или можно по свойству пропорции...
Приложения:

Вас заинтересует
2 года назад
2 года назад
7 лет назад
7 лет назад
10 лет назад
10 лет назад
10 лет назад