• Предмет: Алгебра
  • Автор: irina2002051002
  • Вопрос задан 10 лет назад

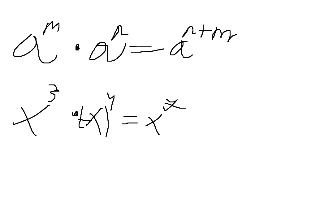
х в 3 степени * (-х) в 4 степени =??

Ответы

Ответ дал: Nikitos3006
0
Наверно так,если честно не помню,извините если не правильно(((
Приложения:
Вас заинтересует